4.某产品的价格2017年比2016年上涨20%,2018年比2016年上涨8%,那么,相比2017年,2018年的价格上涨幅度是( )
a. 10% b. 12% c. 14% d. 16%
扫码关注 湖北公务员考试网 了解更多

4.【答案】a
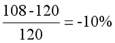
【解析】本题考查经济利润问题基本公式类,赋值2016年价格为100元,则2017年价格为120元,2018年价格为108元,
,因此,选择a选项。
鄂州试题资料
2021事业单位备考数量关系、资料分析:某产品的价格2017年比2016年上涨
未知 | 2021-04-12 11:50
收藏
4.某产品的价格2017年比2016年上涨20%,2018年比2016年上涨8%,那么,相比2017年,2018年的价格上涨幅度是( )
a. 10% b. 12% c. 14% d. 16%
扫码关注 湖北公务员考试网 了解更多

4.【答案】a
【解析】本题考查经济利润问题基本公式类,赋值2016年价格为100元,则2017年价格为120元,2018年价格为108元,
,因此,选择a选项。
微信咨询
微信中长按识别二维码 咨询客服