9. 女儿今年的年龄是母亲年龄的1/4,40年后女儿的是母亲的2/3。问当女儿年龄是母亲年龄的1/2时是公元多少年(假设今年是2013年)?
a. 2021 b. 2022 c. 2026 d. 2029
9.【答案】d
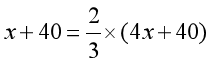
【解析】本题考查年龄问题。年龄问题的核心解题点是过n年长n岁。设今年母亲的年龄为4x,则女儿的年龄为x。40年之后,可得:
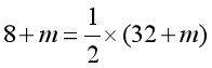
,解出x=8。也就是2013年女儿为8岁,母亲为32岁。设过m年女儿年龄是母亲年龄的1/2,可得:
,解出m=16。即16年后能够满足题意。今年是2013年,16年后是2029年。答案为d选项。
